1.4 – Aides à divers organismes et associations intervenant dans le domaine de la solidarité et de l’action sociale et médico-sociale.

1.7 – Subvention aux lieux d’accueil parents/enfants


1.36 – Subvention 2020 de fonctionnement pour l’association des restos du Coeur et la Banque Alimentaire (associations départementales)

2.38 – Dépenses d’équipement en mobilier et en matériel dans les collèges publics.

2.44 – Aide aux saisons culturelles 2020/2021

2.48 – « Collégiens en Culture(s) » – année scolaire 2020-2021

2.50 – Aide aux Monuments Historiques (classés et inscrit)
Eglise Saint Jean d’Ambert : restauration des couvertures du déambulatoire ; 97 667 € de subvention (24%)
2.55 – Aide à l’équipement des associations culturelles.

2.56 – DALD




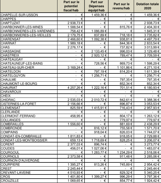
3.63 – Fonds départemental de péréquation de la taxe professionnelle (FDPTP) – répartition 2020.













3.69 – Répartition et utilisation des recettes provenant du produit des amendes de police relatives à la sécurité routière – Programmes 2020 – Dotation 2019


3.79 – Renforcements de chaussées sur les réseaux A, B, C et D et Plan de relance Covid-19 renforcements sur les réseaux A, B, C et D
Novacelles : 14 882,40 € + 12 900 €
Viverols : 26 000 €
Marsac en Livradois : 13 800 €
Saint Anthème : 49 716,43 € + 57 000 €
3.82 – Déneigement de la voirie communale – Dépenses d’investissement – Programme 2020

3.83 – Programme de mise aux normes des 17 passages à niveaux de la voie ferrée « Peschadoires/Saint-Alyre-d’Arlanc


4.84 – Fonds d’Intervention Communal














4.87 – Politique agricole
1 dossier sur Arlanc pour un aménagement de bergerie et la rénovation de tunnel : 5465 €
Soutien à la réhabilitation agricole d’espaces boisés gênants et/ou friches

1 dossier sur Arlanc : Achat de plants de houblon (surface 1,5 ha) – 13 635 € de subvention à 40 %
4.88 – Politique forestière
soutien à la restructuration foncière forestière :

Travaux de reboisement : 5 dossiers
Création de voirie forestière :

Commission 5
5.98 – Travaux et études d’alimentation en eau potable et d’assainissement.
Assainissement collectif

Alimentation en eau potable

Etude d’assainissement




